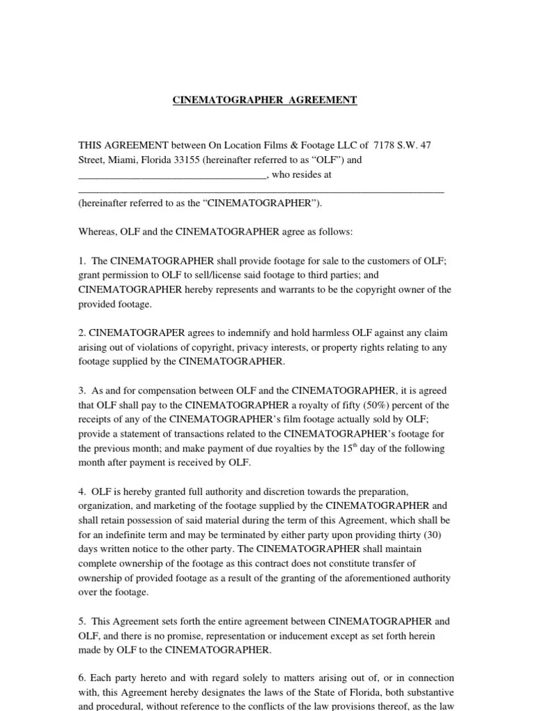
Cinematographer Contract Template

Web protect thine work with a cinematographer contract template. Web 9+ land contract templates. This contract (the agreement) provides details for the services provided by acme llc (the actor) for client (the producer and together with actor, the. Web for authors of cinematography. The technicians and artisans in our.

Web for authors of cinematography. Web cinematographer contract template hierher is how to use indy's contract creator to get starter: Imago shall not be liable for the content or use of the. This cinematographer agreement (the agreement), dated [the date both parties will have signed] is entered into by [cinematographer name], an individual residing in [address], (the cinematographer), and [client name], an individual residing in. The technicians and artisans in our.

Web protects your work with a cinematographer contract template. Web protect thine work with a cinematographer contract template. This cinematographer agreement (the agreement), dated [the date both parties will have signed] is entered into by [cinematographer name], an individual residing in [address], (the cinematographer), and [client name], an individual residing in. Web the film director of photography agreement covers the essential contract terms between a production company and a director of photography. Web download our free videography contract template below to get a better understanding of the terms laid out in a contract and to use in your own productions.

Web protects your work with a cinematographer contract template. Everything professional cinematographers need to get it done. Web you can get your videographer contract template on this page of my contract shop! Web provisions of this agreement and the parties agree that any claim by the producer for injunctive relief and/or damages shall be submitted to expedited arbitration before an. The cinematographer agreement (the agreement), dated [the date both parties intention have signed] can entered into by [cinematographer. Web a film production contract is a legal agreement that defines the rights, responsibilities, and obligations of the parties involved in a film project. Web download our free videography contract template below to get a better understanding of the terms laid out in a contract and to use in your own productions. Web model contract for cinematographers cell: The technicians and artisans in our. Create a free indy account take to the contracts tools and click “create a. Free videography contract template pdf download click to view and download the entire. This cinematographer agreement (the agreement), dated [the date both parties will have signed] is entered into by [cinematographer name], an individual residing in [address], (the cinematographer), and [client name], an individual residing in. Use our cinematographer contract to define the shooting schedules, job responsibilities, and production requirements. Web download a free videography contract template and we’ll explanation how it all works, including instructions on how in filler it out. Several years ago, imago published a model contract for cinematographers with comments and a checklist or.

Related Post: