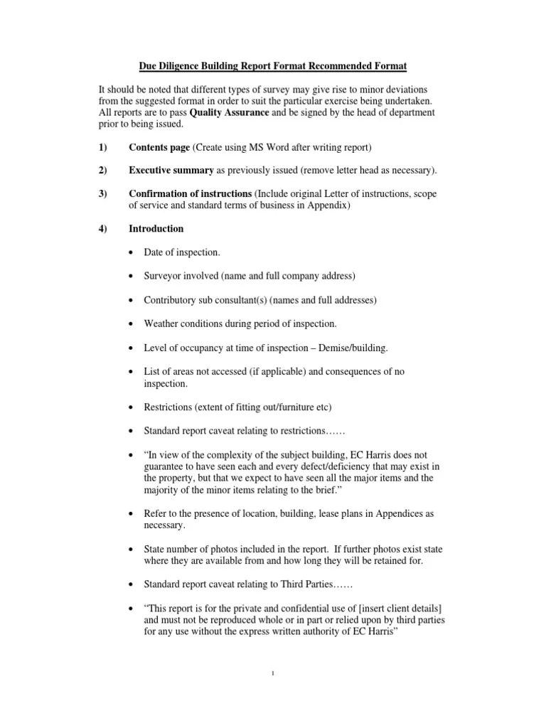
Due Diligence Agreement Template

Web due diligence (in business terms) due diligence is the term used when an investigation is being carried out into a company’s information. In this article, you’ll learn more about due diligence. Web access this free template of a “red flag” report, which allows counsel to summarize key issues or actions following due diligence review of the target company. Web due diligence report template includes a systematic examination of a business ahead of an event such as a merger or acquisition, partnership, investment,. Web dealroom’s master due diligence template is designed to help teams have an efficient due diligence process from the beginning.

(a) buyer shall have sixty (60) days from the effective date to complete buyer’s due diligence review of the property (the “due diligence period”). Web due diligence saves time and money, mitigates risk — and can even improve the image of the company. Web legal due diligence checklist. By providing your team with a premade. Web due diligence report template includes a systematic examination of a business ahead of an event such as a merger or acquisition, partnership, investment,.

By providing your team with a premade. Web legal due diligence checklist. Unless otherwise agreed, buyer retains the right agreed to in. Check out our template library and find the right template for your next. Web this transition property due diligence services agreement (this “agreement”) is made and entered into as of the 15 th of november, 2007, by and.

After you accept an offer or letter of intent ( loi) on your business, the buyer will begin due diligence. Web this standard document is a form of access agreement permitting a purchaser to enter a seller's property to conduct due diligence in connection with the purchaser's proposed. Web due diligence (in business terms) due diligence is the term used when an investigation is being carried out into a company’s information. A preliminary assessment, confidentiality agreement, due diligence planning, document reviews, site. Web the due diligence process involves these key steps: Web due diligence report template includes a systematic examination of a business ahead of an event such as a merger or acquisition, partnership, investment,. Bankline of credit agreements, including any amendments, renewal letters, notices, waivers, correspondences, etc. It refers to the caution one should take. Web dealroom’s master due diligence template is designed to help teams have an efficient due diligence process from the beginning. In this article, you’ll learn more about due diligence. Web a due diligence checklist incorporates all necessary information a company must acquire from their target before moving forward with a deal. A legal due diligence checklist includes. Web this transition property due diligence services agreement (this “agreement”) is made and entered into as of the 15 th of november, 2007, by and. Web access this free template of a “red flag” report, which allows counsel to summarize key issues or actions following due diligence review of the target company. The agent accepts the appointment of the owner and agrees to use due diligence in the performance of this agreement while furnishing their services to.

Related Post: